
一、多替诺雷运抵上海 开启尿酸精准调控新时代
近日,卫材(中国)药业有限公司宣布,其创新药物多替诺雷片(商品名:优乐思®)正式抵达上海浦东国际机场,即将正式进入中国市场。首批到港的多替诺雷将在卫材中国的苏州工厂进行严格的质量检查与分包装工作,患者便可凭处方在各大医院和电商平台上购买到这款突破性治疗药物。
多替诺雷是我国首款精准靶向作用的降尿酸创新药物。其独特的高选择性抑制尿酸转运体1(URAT1)作用机制,可以让广大痛风患者在很难坚持低嘌呤饮食的情况下,显著提升降尿酸效果,实现尿酸长期达标,远离痛风发作。并且不增加肾脏负担,降低慢性肾病及心血管事件发生风险。多替诺雷片的到来标志着痛风治疗领域迎来了全新的突破。
卫材中国总裁冯艳辉女士表示:"目前我国痛风患者已近1700万,发作的剧痛和严格忌口严重影响患者生活质量。非常期待多替诺雷更精准、优效、安全的特点,能真正帮助这些患者走出痛风阴霾。这不仅是代谢领域的重要里程碑,更标志着中国痛风治疗正式迈入靶向精准干预的新纪元。卫材中国将始终秉持hhc(human health care, 关心人类健康)的初心,携手产学研医各界,打造hhc-eco(即"hhc生态圈"),共同谱写‘健康中国战略'的医疗创新篇章。"
药物信息
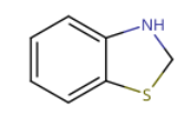
药物名称:Dotinurad
适应症:痛风
研发公司:卫材
API结构

CAS:1285572-51-1
Dotinurad结构中韶远能够提供的小分子砌块
SY471528

SY249973

4433-52-7

SY001112

二、晖致医药慢阻肺新药在中国获批上市
近日,中国国家药监局(NMPA)官网刚刚公示,晖致医药(Viatris)申报的瑞维那新吸入溶液(曾用名:雷芬那辛吸入溶液,revefenacin)的上市申请已获得批准。公开资料显示,这是一款治疗慢性阻塞性肺病(COPD)的每日一次、长效雾化支气管扩张剂,此前已经于2018年获得美国FDA批准上市(商品名:YUPELRI)。
药物信息
药物名称:Revefenacin
适应症:慢性阻塞性肺病(COPD)
研发公司:晖致医药
API结构

CAS:864750-70-9
Revefenacine结构中韶远能够提供的小分子砌块
SY037709

SY410496

SY020859

SY005311

SY037756

三、爱科百发用于治疗注意缺陷多动障碍新药爱智达®的上市申请获受理并纳入优先审评
近日,国家药品监督管理局(NMPA)药品审评中心(CDE)正式受理上海爱科百发生物医药技术股份有限公司(以下简称" 爱科百发")新药爱智达®(通用名:丝右哌甲酯/右哌甲酯复方胶囊)的新药上市申请(NDA),并将其已纳入"优先审评审批"程序,拟定适应症为6 岁及6 岁以上注意缺陷多动障碍(ADHD)患者的治疗。
药物信息
药物名称:Serdexmethylphenidate
适应症:6 岁及6 岁以上注意缺陷多动障碍(ADHD)
研发公司:爱科百发
API结构

CAS:1996626-29-9
Serdexmethylphenidate结构中韶远能够提供的小分子砌块
SY233171

SY005340

SY002246

四、先声药业引进的抗失眠新药「达利雷生」在中国获批
近日,国家药品监督管理局(NMPA)官网最新公示,先声药业与Idorsia公司合作开发的抗失眠新药盐酸达利雷生片的新药上市申请已获得批准。根据先声药业此前新闻稿,盐酸达利雷生片是一种双食欲素受体拮抗剂(DORA),属于新一代抗失眠药。
药物信息
药物名称:Daridorexant
适应症:失眠
研发公司:先声药业与Idorsia公司
API结构

CAS:1505484-82-1
Daridorexant结构中韶远能够提供的小分子砌块
SY326806

SY463059

SY037194

SY097096

五、十余年来首款!约1小时起效,又一罕见病实现口服治疗
近日,KalVista Pharmaceuticals宣布,其新型血浆激肽释放酶抑制剂Ekterly(sebetralstat)已获美国FDA批准,用于治疗12岁及以上成人和儿科患者的遗传性血管性水肿(HAE)急性发作。根据新闻稿,Ekterly是十余年来首款获批的口服治疗HAE药物,有望显著改变该疾病的治疗管理方式。
遗传性血管性水肿(Hereditary angioedema ,HAE),是因为HAE常染色体变异致严重肿胀反复发作的疾病。
肿胀最常见于手臂,腿部,面部,肠道和气道。通常不会发生瘙痒。如果肠道受到影响,可能会出现腹痛和呕吐。气道肿胀可导致阻塞。没有预防性治疗的发作通常每两周发生一次并持续几天。本病可发生于任何年龄,但大多数出现于儿童期或少年期,常伴腹痛、恶心呕吐、血清中C1酯酶抑制物(C1INH)降低等表现,常有家族史。
药物信息
药物名称:Sebetralstat
适应症:12岁及以上成人和儿科患者的遗传性血管性水肿(HAE)急性发作
研发公司:KalVista Pharmaceuticals
API结构

CAS:1933514-13-6
Sebetralstat结构中韶远能够提供的小分子砌块
SY214594

SY419906

SY009587

SY001626

SY037259

六、信诺维1类新药注射用亚胺西福申报上市获受理!
近日,国家药品监督管理局(NMPA)正式受理BioBAY园内企业信诺维在研β-内酰胺类/β-内酰胺酶抑制剂(BL/BLI)复方制剂1类新药——注射用亚胺培南西司他丁钠福诺巴坦(注射用亚胺西福)的上市申请(NDA),受理号:CXHS2500074。该药物是全球首个针对三大碳青霉烯类耐药革兰阴性杆菌(CRO)具有广谱抗菌活性的BL/BLI复方制剂,拟用于治疗医院获得性细菌性肺炎和呼吸机相关性细菌性肺炎(HABP/VABP)。
药物信息
药物名称:Cilastatin, Imipenem Drug Combination
适应症:医院获得性细菌性肺炎和呼吸机相关性细菌性肺炎(HABP/VABP)
研发公司:信诺维
API结构

CAS:92309-29-0
Cilastatin, Imipenem Drug Combination结构中韶远能够提供的小分子砌块
SY108102

SY001931

SY036348

SY110147

素材来源:药渡、Pubchem,若有侵权望联系删除!
关于韶远

ACCELA

【CDMO业务】
电话 50795510(转169,113)
网址 www.accelachem.cn
【试剂业务】
电话 400-066-5055
网址 www.shao-yuan.com
相关推荐
-
2025-10-23
韶远资讯 | 全球小分子药物研发前沿动态(总第157期)
-
2025-10-06
韶远资讯 | 全球小分子药物研发前沿动态(总第156期)
-
2025-09-23
韶远资讯 | 全球小分子药物研发前沿动态(总第155期)
-
2025-09-02
韶远资讯 | 全球小分子药物研发前沿动态(总第154期)
-
2025-08-23
韶远资讯 | 全球小分子药物研发前沿动态(总第153期)
-
2025-08-07
韶远资讯 | 全球小分子药物研发前沿动态(总第152期)
-
2025-07-22
韶远资讯 | 全球小分子药物研发前沿动态(总第151期)
-
2025-07-01
韶远资讯 | 全球小分子药物研发前沿动态(总第150期)
-
2025-06-21
韶远资讯 | 全球小分子药物研发前沿动态(总第149期)
-
2025-06-05
韶远资讯 | 全球小分子药物研发前沿动态(总第148期)
-
2025-05-21
韶远资讯 | 全球小分子药物研发前沿动态(总第147期)
-
2025-05-05
韶远资讯 | 全球小分子药物研发前沿动态(总第146期)
-
2025-04-20
韶远资讯 | 全球小分子药物研发前沿动态(总第145期)
